Trwa ładowanie...
Notowania
Przejdź na
Mateusz Ratajczak
Mateusz Ratajczak
|
aktualizacja

"Jak to możliwe?". Listy z ZUS zaskakują Polaków. Przez matematykę i polityków

425
Podziel się:

"Jak to możliwe?". To reakcja części Polaków na lista od Zakładu Ubezpieczeń Społecznych. I zdziwieniem wcale nie jest wyłącznie niskie świadczenie na starość. Niektórzy zastanawiają się, jak to możliwe, że ich prognozy w tym roku spadły. I to o kilkaset złotych. Tłumaczymy, jak czytać list od Zakładu Ubezpieczeń Społecznych.

Prognozy wysokości emerytur w listach od ZUS niższe niż w zeszłym roku to nie pomyłka.
Prognozy wysokości emerytur w listach od ZUS niższe niż w zeszłym roku to nie pomyłka. (East News/Bartosz Krupa)

"Jak to możliwe?", "To chyba jakiś błąd". To reakcja części Polaków na listy od ZUS. Zastanawiają się, dlaczego prognozy dotyczące ich emerytur w tym roku spadły. I to o kilkaset złotych. Tłumaczymy, jak czytać list od Zakładu Ubezpieczeń Społecznych.

- Chciałbym się podzielić informacją, jaką właśnie otrzymałem od ZUS. Okazuje się, że przez ostatnie dwa lata niepotrzebnie pracowałem. Dlaczego? Kapitał mi urósł, a prognozowana emerytura zmalała o jakieś 200 zł. Nie po to pracuję tyle lat, aby przechodzić na głodową emeryturę - dziwi się nasz czytelnik, pan Henryk.

src="https://money.wpcdn.pl/i/h/107/art425323.JPG"/>Skontaktował się z nami za pośrednictwem formularza dziejesie.wp.pl i podesłał swoją prognozę emerytalną. Nie ukrywa, że list rozbawił go. I zdenerwował jednocześnie.

I nie tylko on był zdziwiony przesyłką od ZUS.

- Rok temu prognozowali mi wyższą emeryturę, teraz niższą. Nic z tego nie rozumiem, ale w sumie to nie byłam chętna dalej czytać. W liście sam gąszcz wpłaconych składek, a mało wyjaśnień. Po co się tym przejmować? Już niewiele zmienię. Wystarczy mi świadomość, że emerytura będzie mała. List podarłam i wyrzuciłam, bo pierwsze, o czym pomyślałam, to pomyłka Zakładu Ubezpieczeń Społecznych. Będę się martwić później - komentuje Dorota, która ma 57 lat i emeryturę jeszcze przed sobą.

Lata lecą, prognoza spada?

Jak to możliwe, że dodatkowe lata pracy i systematyczne odkładanie składek skończyły się niższą prognozą niż w poprzednich listach od Zakładu Ubezpieczeń Społecznych? To wszystko zasługa (lub wina) posłów.

W przypadku tegorocznych listów trzeba zauważyć jedną ważną zmianę. Chodzi o wiek emerytalny. Do wyliczeń zastosowano już ten po obniżce. To oznacza, że kalkulacja jest tworzona przy założeniu przejścia na emeryturę w wieku 60 lat dla kobiet i 65 lat dla mężczyzn. I dlatego właśnie prognozowane emerytury Henryka i Doroty zmalały. I to o całkiem sporą kwotę.

Wysokość emerytury zależy od dwóch rzeczy - czyli zebranego kapitału emerytalnego ze składek oraz momentu przejścia na emeryturę (a dokładnie prognozowanego czasu życia po przejściu na emeryturę). Poprzednie listy zakładały, że mężczyźni po świadczenie sięgną w wieku 67 lat, a kobiety - 65 lat (część była w okresie przejściowym).

A trzeba pamiętać, że średnio każdy dodatkowy rok pracy podwyższa świadczenie o 8 - 10 proc. Warto to pokazać na przykładzie.

Henryk w tej chwili uzbierał 500 tys. zł kapitału emerytalnego, do emerytury ma dwa lata - w tej chwili ma 63 lata. Henryk nie poinformował nas dokładnie o tym, ile uzbierał kapitału początkowego (pracując przed 1999 rokiem) i czy odkładał na OFE. Ale już prosta kalkulacja pokazuje, o co chodzi.

Jeżeli Henryk przejdzie na emeryturę w wieku 65 lat to, według prognoz, będzie miał przed sobą 218 miesięcy życia (czyli dożyje do 83. roku życia). Jego świadczenie będzie wynosić 2,2 tys. zł. Gdyby na emeryturę przeszedł w wieku 67 lat, to miałby przed sobą 200 miesięcy życia (i większy kapitał zebrany na emeryturę). Efekt? 2,5 tys. zł emerytury.

Kwoty w przesyłanych przez ZUS listach to oczywiście tylko szacunki i tak należy je traktować. Dlaczego? Nie sposób przyjąć założenia, że ktokolwiek przez najbliższe 10, 15 czy 20 lat nie otrzyma żadnej podwyżki. A list zakłada na przykład dalsze wpływanie składek w identycznej wysokości. W praktyce ewentualna zmiana pracy już znacznie modyfikuje prognozy. Do tego kwoty wyszczególnione w listach podlegają waloryzacji.

Zobacz także: List od ZUS o przyszłej emeryturze. Jak poprawnie odczytać dokument?

Co w liście?

Przy okazji warto przypomnieć, jak poprawnie czytać informacje wysyłane przez Zakład Ubezpieczeń Społecznych.

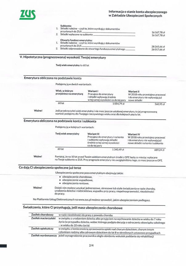
Przykładowy list od Zakładu Ubezpieczeń Społecznych

W pierwszych trzech punktach znajdziemy informacje o łącznej wysokości składek opłaconych w całej naszej karierze.

  • "Kapitał początkowy" – tu kwota pojawi się tylko w przypadku osób, które pracowały i były ubezpieczone przed 1999 r. Te pieniądze podlegają waloryzacji.
  • Punkt drugi to całkowita wartość składek wpłaconych do ZUS od stycznia 1999 r. do grudnia 2017 r.
  • Ostatni z punktów dotyczy tego, ile w całym 2017 r. do Zakładu pieniędzy przelał nasz pracodawca. Poniżej kwota rozbita jest na poszczególne miesiące. Jeśli w którymś z nich pojawi się "0", a pracowaliśmy, powinniśmy usłyszeć dzwonek alarmowy. Najpewniej pracodawca nas oszukał i nie zapłacił należnych składek.

Poniżej znajdziemy informacje o stanie subkonta. O ile je posiadamy. Powstały bowiem w maju 2011 r. i posiadają je tylko osoby urodzone po 1968 r. lub starsze, ale należące do OFE. Kolejna strona to dokładne wskazania, ile pieniędzy mamy na subkoncie, a ile w OFE.

Po lekturze wszystkich powyższych danych, docieramy do najważniejszego. To oczywiście prognozy przyszłej emerytury. W liście przedstawione są cztery prognozy - na podstawie wszystkich składek i w zależności od tego, czy dalej będziemy pracować. ZUS pokazuje, co by się stało z naszą emeryturą, gdybyśmy od tego roku przestali zarabiać jakiekolwiek pieniądze.

Przykładowy list od Zakładu Ubezpieczeń Społecznych

Jednocześnie ZUS w liście nie przypomniał tuż obok wyliczeń o zmianie wieku emerytalnego. Stąd niektórzy mogą być faktycznie zdziwieni różnicami w poszczególnych informacjach.

**Masz newsa, zdjęcie lub filmik? Prześlij nam przez dziejesie.wp.pl

**

emerytury
KOMENTARZE
(425)
WYRÓŻNIONE
emeryt9
8 lat temu
Jaka wina poslow ?To wina rzadu pis to wymyslil Morawiecki ze swoimi nieudolnymi ministrami ktorzy wspolnie kombinuja jak wydrzec z kieszeni ostatnia zlotowke nawet emerytom ,Niepelnosprawnym juz zabrali teraz czas na emerytow ,
taka prawda
8 lat temu
Co tam emerytury - ważne,że patologia dostaje 500+ i pójdzie głosować na PiS.
anka
8 lat temu
W dzisiejszych czasach najbardziej opłaca się być nierobem z gromadą dzieci swoich, nie swoich,nie ważne.
...
Następna strona